1993 Harris HRB-918W-BRXT Horizontal 2 Ram

1993 Harris HRB-918W-BRXT Horizontal 2 Ram
$74,635 (USD)
Location:Tennessee
Description
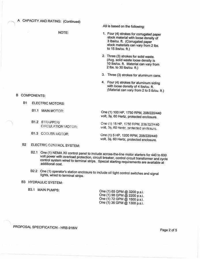
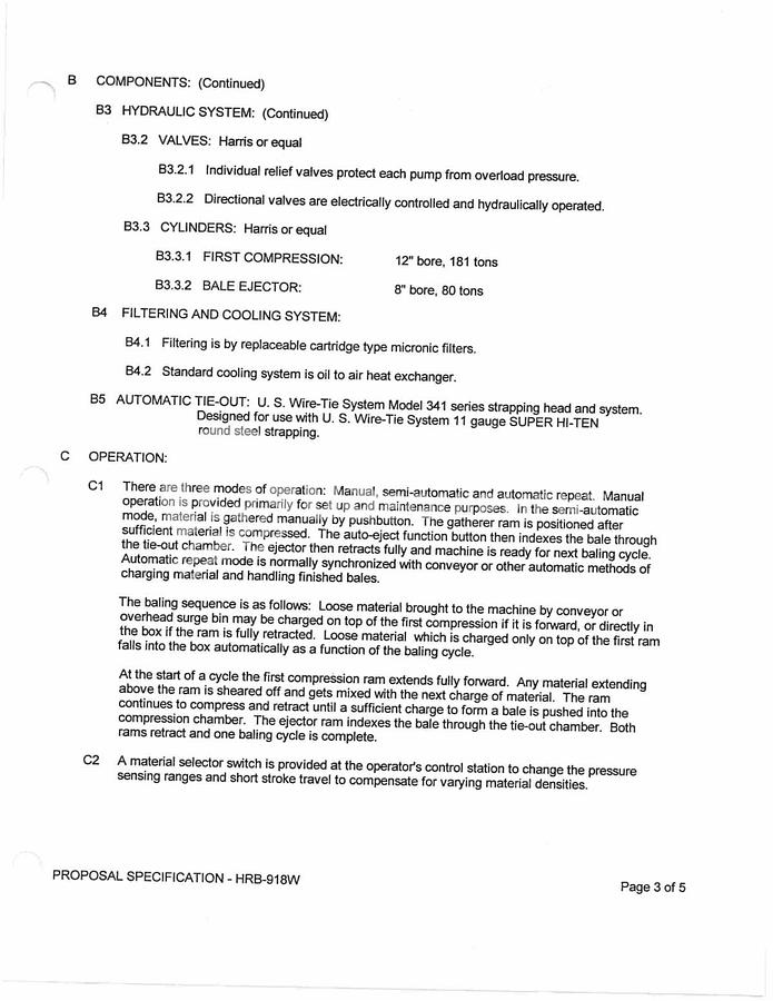
The 1993 Harris HRB-918W-BRXT is a used horizontal two ram baler ideal for recycling and trash compacting operations. This baler features a generous feed opening of 74" x 109.5", making it suitable for handling large volumes of material efficiently. Powered by a robust 100 HP motor and operating at 3200 PSI hydraulics, it provides reliable compression force. Additionally, the baler comes equipped with a 15 HP strapper pump and a 5 HP filter/cooling pump to ensure smooth operational processes. The main ram measures 12 inches while the eject ram is 8 inches in diameter, designed to handle rigorous demands of industrial baling. While the equipment was operational before storage, it may require some inspection or maintenance before being back in use.
Specifications
| Manufacturer | Harris |
| Model | HRB-918W-BRXT Horizontal 2 Ram |
| Year | 1993 |
| Condition | Used |
| Stock Number | P21461 |
| Delivery Available | Request Quote |
| Installation Available | Request Quote |
| Financing Available | Click The Finance Tab & Apply Now |













